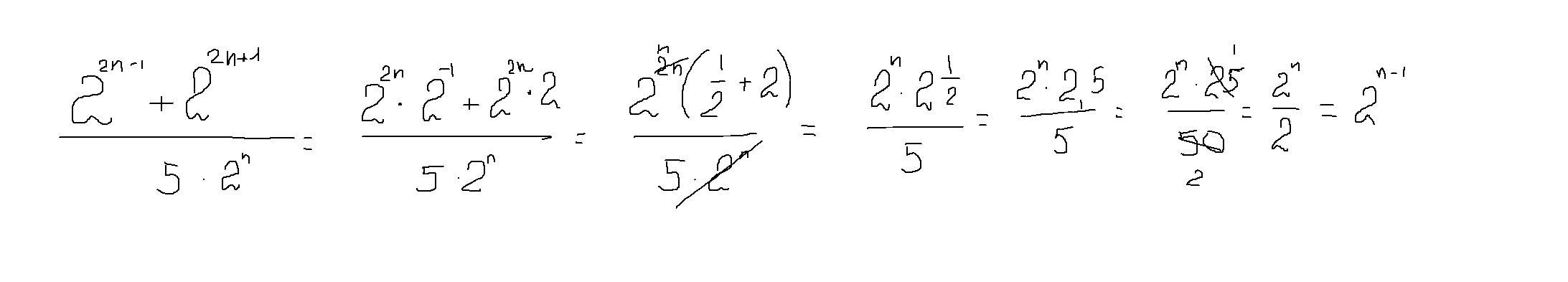
сократите дробь (n- натуральное число)
2(в степени 2n-1) + 2(в степени 2n+1)
__________________________________(черточка.)
5 * 2( в степени n)
Ответы
Ответ дал:
0
решение в приложенном рисунке
Приложения:

Вас заинтересует
2 года назад
7 лет назад
7 лет назад
9 лет назад
9 лет назад