• Предмет: Алгебра
  • Автор: dalsin
  • Вопрос задан 10 лет назад

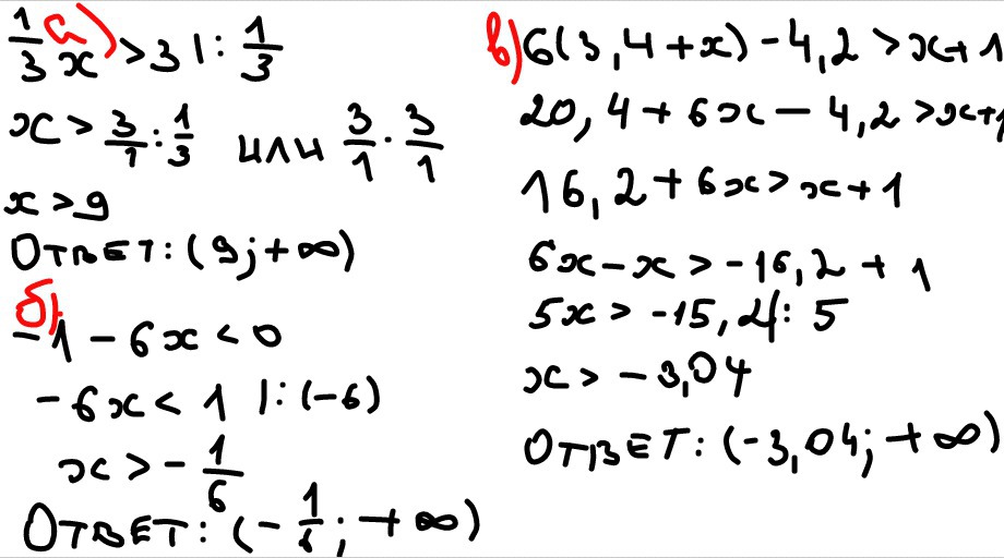
Решить неравенство
А)1/3х больше 3
Б)1-6х не большего 0
В)6(3,4+х)-4,2больше х+1

Ответы

Ответ дал: TheLuciferr
0
Надеюсь все понятно.Если нет,спрашивай.
Приложения:
Вас заинтересует