• Предмет: Алгебра
  • Автор: pivenandrey
  • Вопрос задан 10 лет назад

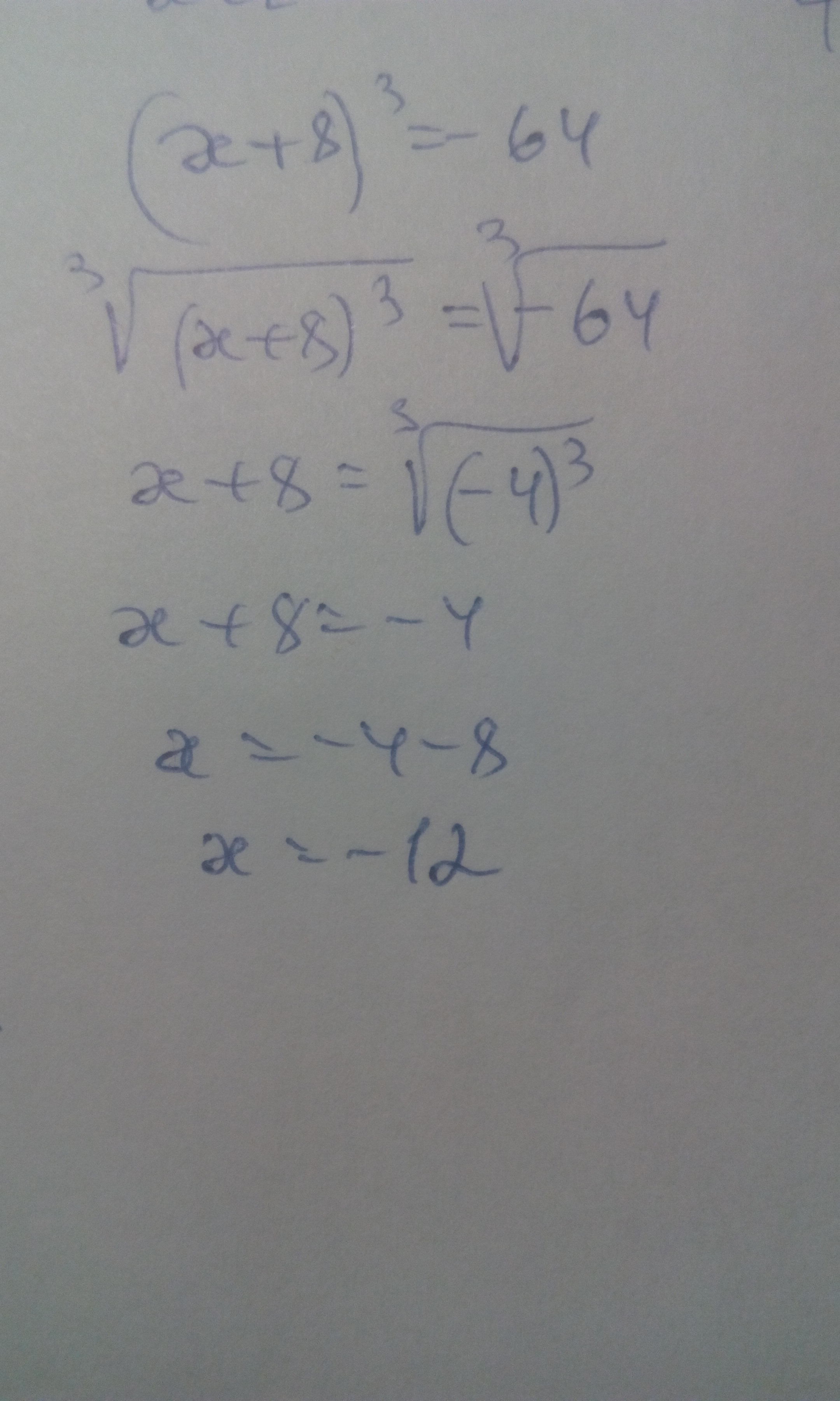
Найти корень уравнения: (x+8)^3 = -64
Решите с подробностями )

Ответы

Ответ дал: irinan2014
0
Решение смотри во вложении.
Приложения:
Вас заинтересует