• Предмет: Геометрия
  • Автор: MikelJordan234
  • Вопрос задан 9 лет назад

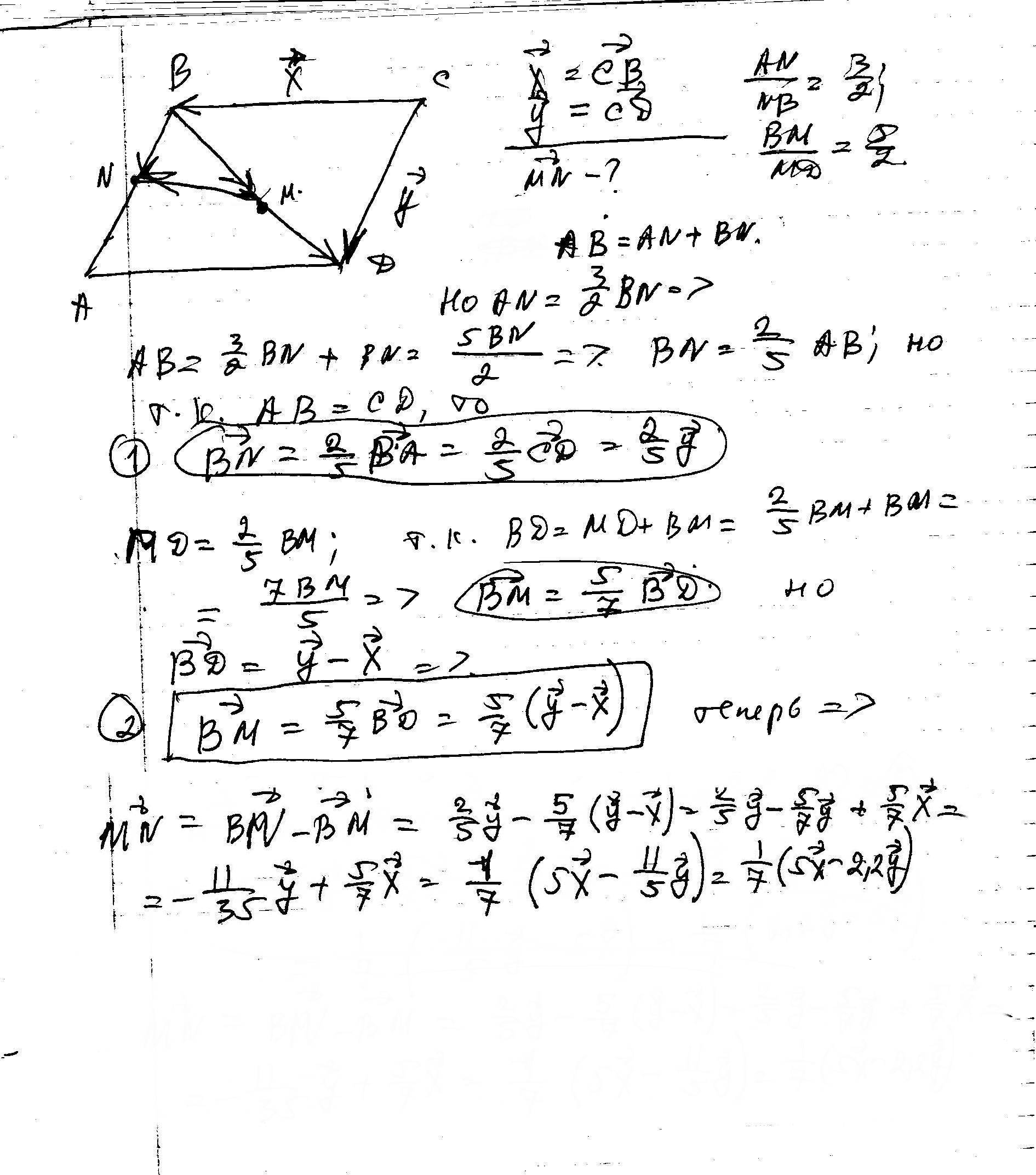
На стороне AB и диагонали BD параллелограмма ABCD лежат точки N и M так, что AN/NB=3/2, BM/MD=5/2. Выразите вектор MN через векторы x=CB, y=CD

Ответы

Ответ дал: ужнеужели
0
Решение в скане.................
Приложения:
Вас заинтересует