• Предмет: Алгебра
  • Автор: yoongi99
  • Вопрос задан 9 лет назад

Помогите пожалуйста, не доходит даже

Приложения:

Ответы

Ответ дал: LFP
0
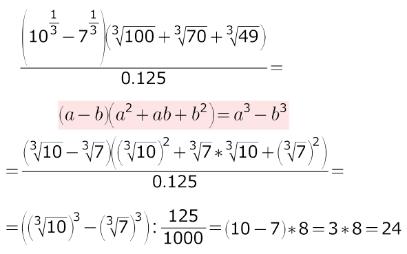
1. нужно знать формулы (разность кубов, сумма кубов...)
2. нужно их узнавать (видеть)))
Приложения:
Ответ дал: yoongi99
0
Спасибо большущее)
Ответ дал: LFP
0
на здоровье!!
Вас заинтересует