• Предмет: Математика
  • Автор: Аноним
  • Вопрос задан 10 лет назад

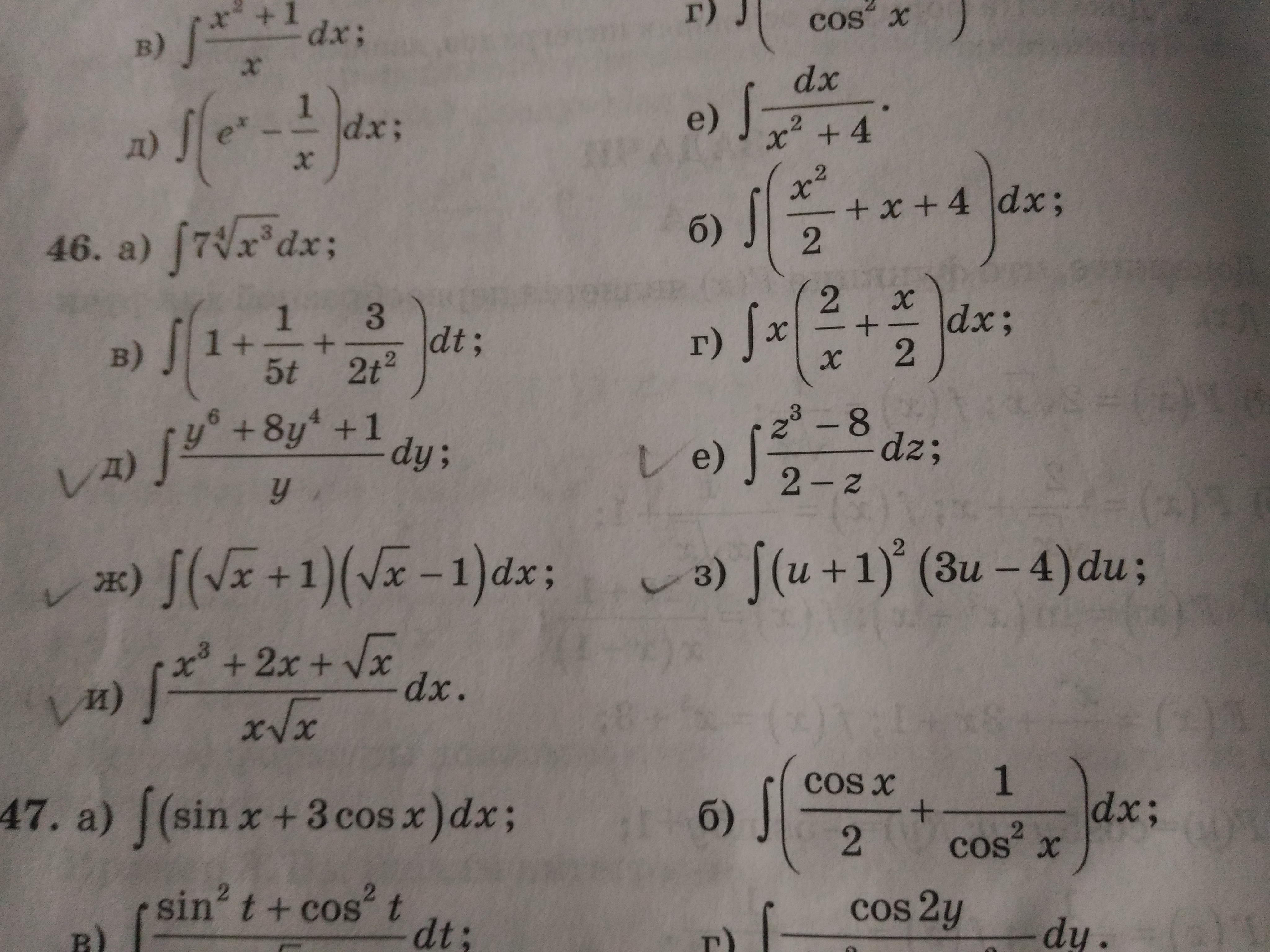
Помогите решить интегралы. 46 (Ж,И,Е)

Приложения:

Ответа на этот вопрос пока нет. Попробуйте найти его через форму поиска.

Вас заинтересует