Ответы
Ответ дал:
0
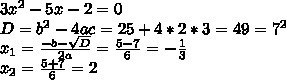
Ответ: -(1/3);2
Надеюсь помогла )))
Надеюсь помогла )))
Приложения:

Ответ дал:
0
А как ты избавилась от куба?
Ответ дал:
0
Ответ:
Ответ:
( Включая комплексные числа )
Ответ:
( Включая комплексные числа )
Вас заинтересует
2 года назад
2 года назад
7 лет назад
7 лет назад
9 лет назад
9 лет назад
10 лет назад