• Предмет: Алгебра
  • Автор: lera19071
  • Вопрос задан 9 лет назад

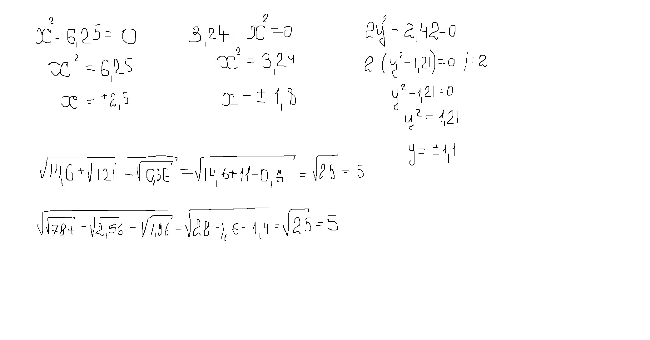
Помогите пожалуйста<3
#36(7,8,9)
#37(11, 12)спасибо))

Приложения:

Ответы

Ответ дал: ireena
0
решение в приложенном рисунке
Приложения:
Вас заинтересует