подчеркните подобные слагаемые и выполните приведение подобных слагаемых:
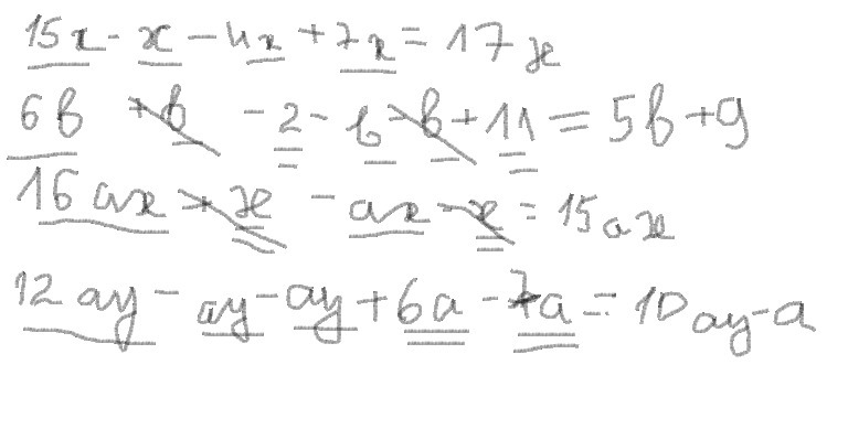
15x-x-4x+7x
6b+b-2-b-b+11
16ax+x-ax-x
12ay-ay-ay+6a-7a
Ответы
Ответ дал:
0
х(15-1-4+7)=17x
(6b+b-b-b)-2+11=5b+9
16ax-ax+x-x=15ax
12ay-ay-ay+6a-7a=10ay-a
(6b+b-b-b)-2+11=5b+9
16ax-ax+x-x=15ax
12ay-ay-ay+6a-7a=10ay-a
Ответ дал:
0
Держи. Учись хорошо!
Приложения:

Вас заинтересует
2 года назад
7 лет назад
9 лет назад
9 лет назад