• Предмет: Алгебра
  • Автор: Darkness8888
  • Вопрос задан 10 лет назад

ПОМОГИТЕ ПРОШУ
53 и 54 (б,в,г)

Приложения:

Ответы

Ответ дал: vladikistomin2
0
хай если есть айфон супер приложение photomath решает все не может и на андройд есть я точно не знаю но решает 


Ответ дал: Darkness8888
0
Делала
Правда шаги решения не такие
Ответ дал: vladikistomin2
0
да кто смотрит на эти шаги решения
Ответ дал: LordCot
0
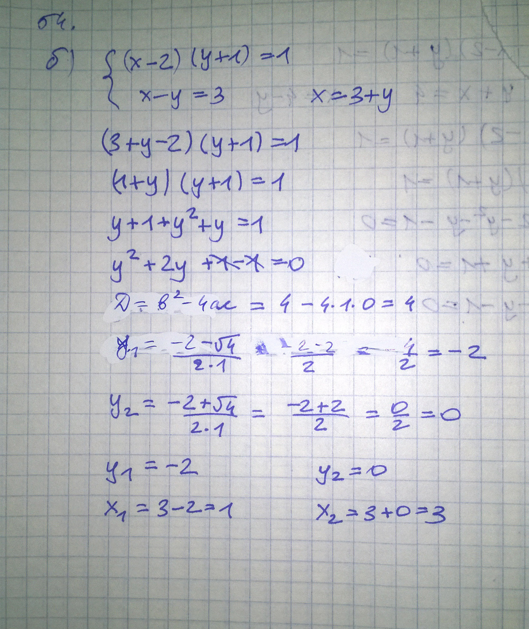
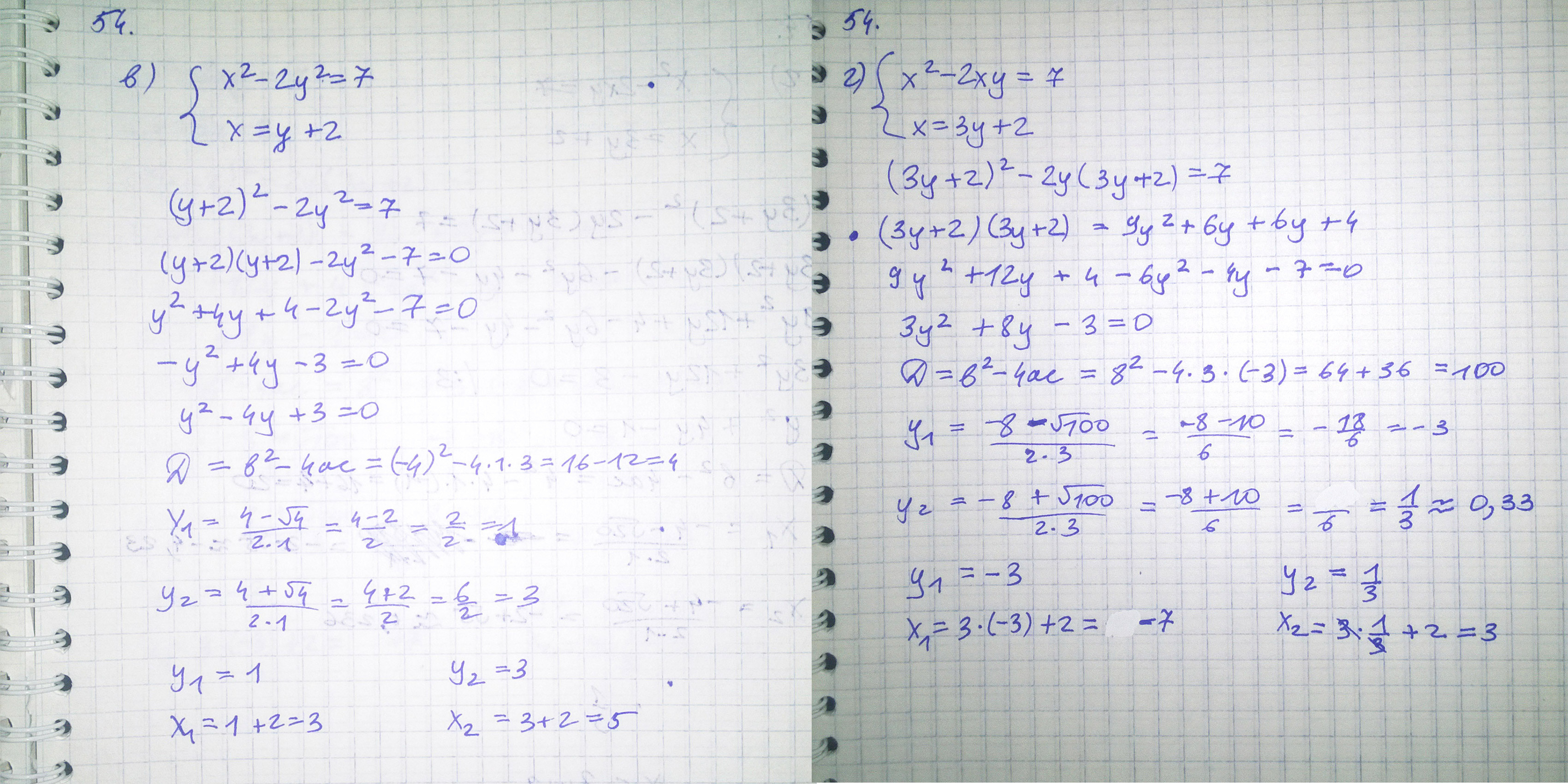
Решение представлено на фотографиях.
Приложения:
Ответ дал: LordCot
0
У вас ведь уже выложены 55-57. Тогда не нужно заново создавать задание. Я решу их и отправлю вам ответы.
Ответ дал: Darkness8888
0
Забылаааа, спасибо огромное
Выручаете
Ответ дал: Darkness8888
0
Получается ?
Ответ дал: LordCot
0
Да, 56 и 57 я уже давно сделала. Могу даже скинуть уже. Строю сейчас графики 55.
Ответ дал: Darkness8888
0
Я так благодарна вааам
Если не затруднит
Скиньте пожалуйста
Вас заинтересует