• Предмет: Математика
  • Автор: 321323
  • Вопрос задан 9 лет назад

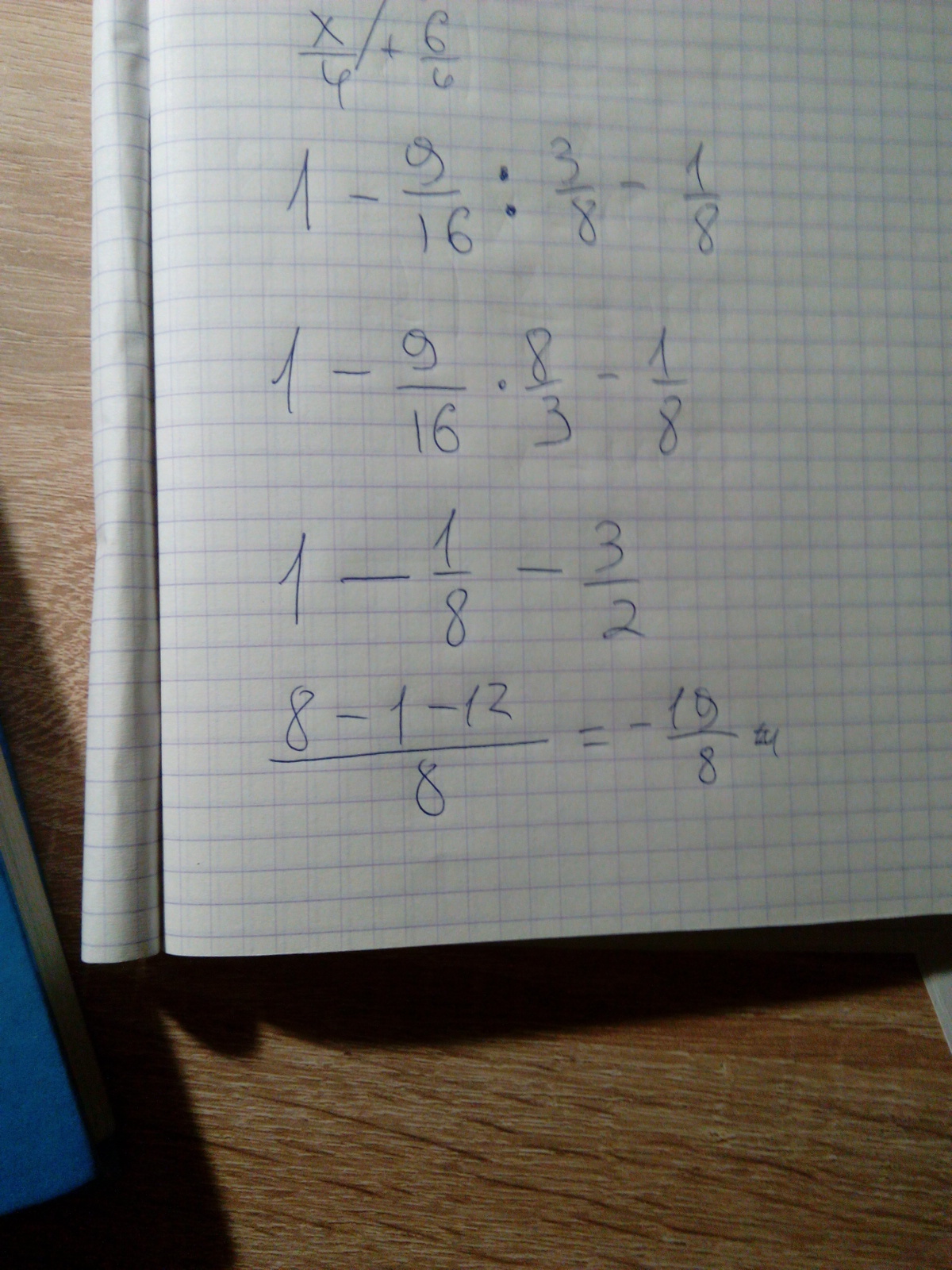
Как решить? 1-9/16:3/8-1/8 одна целая минус девять шестнадцатых разделить на три восьмых минус одна восьмая

Ответы

Ответ дал: UnderGuten
0
Вот пожалуйста ответ.
Приложения:
Ответ дал: 321323
0
Огромное спасибо
Вас заинтересует