Ответы
Ответ дал:
0
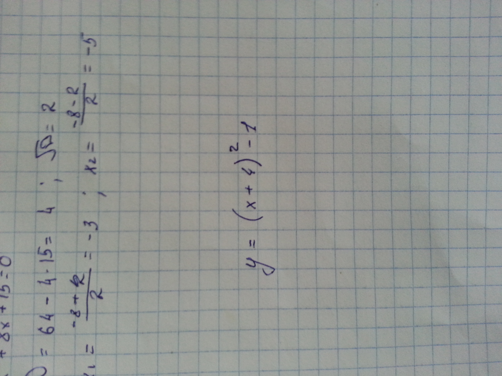
y=x^2+8x+16-1
y=x^2+8x+15
при у=0 находим х=15
при у=-1 х=8
при у=1 х=24
остается нарисовать график по этим координатам
ветви параболы направлены вверх
y=x^2+8x+15
при у=0 находим х=15
при у=-1 х=8
при у=1 х=24
остается нарисовать график по этим координатам
ветви параболы направлены вверх
Вас заинтересует
2 года назад
7 лет назад
7 лет назад
10 лет назад
10 лет назад
10 лет назад