Ответы
Ответ дал:
0
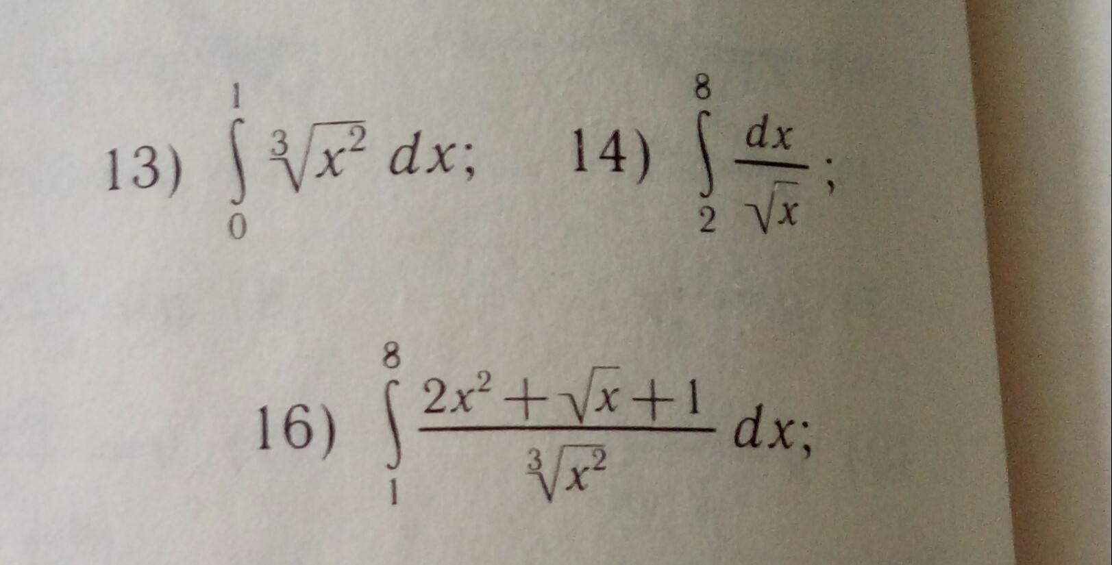
13) = x^5/3 / 5/3 | в пределах от 0 до 1 = 3/5
14) = √ х | в пределах от 2 до 8 = √8 - √2 = 2√2 - √2 = √2
16) После деления под интегралом стоит:
2x^4/3 + x^-1/6 + x ^-2/3
теперь сам интеграл =2x^7/3 / 7/3 + x^ 5/6 /5/6 + x^ 1/3 / 1/3 =
= 6/7*x^ 7/3 + 6/5*x^ 5/6 + 3x^1/3 | в пределах от 1 до 8 =
= 6/7*2^7 + 6/5 * 2^5/2 + 3*2 - 6/7 - 6/5 - 6 =
14) = √ х | в пределах от 2 до 8 = √8 - √2 = 2√2 - √2 = √2
16) После деления под интегралом стоит:
2x^4/3 + x^-1/6 + x ^-2/3
теперь сам интеграл =2x^7/3 / 7/3 + x^ 5/6 /5/6 + x^ 1/3 / 1/3 =
= 6/7*x^ 7/3 + 6/5*x^ 5/6 + 3x^1/3 | в пределах от 1 до 8 =
= 6/7*2^7 + 6/5 * 2^5/2 + 3*2 - 6/7 - 6/5 - 6 =
Вас заинтересует
2 года назад
2 года назад
7 лет назад
7 лет назад
10 лет назад
10 лет назад
10 лет назад