Помогите с зачётом, пожалуйста)
1. Формулы сокращённого умножения
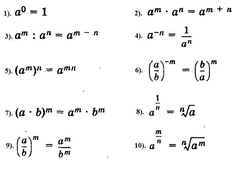
2. Свойства степени
3. Формулы для решения квадратного уравнения
4. Теорема Виета
5. Область определения, область значений функции
6. Среднее арифметическое
7. Типы задач на проценты и способы их решения
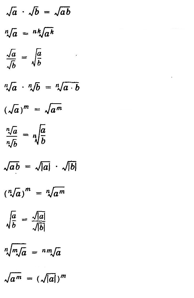
8. Свойства арифметического квадратного корня
9. Мода, размах, медиана
10. Формула разложения квадратного трёхчлена на множители
11. Формулы арифметической прогрессии
12. Формулы геометрической прогрессии
13. Признаки равенства треугольников, в том числе и прямоугольных
14. Медиана, биссектриса, высота треугольника
15. Признаки и свойства параллельных прямых
16. Сумма углов треугольника
17. Четырёхугольники и их свойства
18. Формулы площади треугольника
19. Формулы площадей четырёхугольников
20. Теорема Пифагора
21. Подобные треугольники, признаки подобия треугольников
22. Средняя линия треугольника
23. Средняя линия трапеции
24. Определение sin, cos, tg
25. Значения sin,cos,tg для углов 30, 45, 60 градусов
26. Теорема синусов
27. Теорема косинусов
28. Формулы приведения
29. Основные тригонометрические тождества
30. Вписанный и центральный углы
31. Вписанная и описанная окружности
32. Скалярное произведение векторов
Ответы
Ответ дал:
0
ответы в виде картинок - советую разбить вопросы и по отдельности спрашивать
Приложения:





Вас заинтересует
2 года назад
2 года назад
7 лет назад
9 лет назад
10 лет назад