• Предмет: Физика
  • Автор: diyora6
  • Вопрос задан 9 лет назад

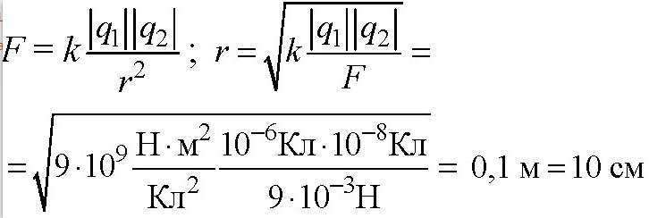
на каком расстояние друг от друга заряды 1мкКл и 10 нКл взаимодействуют с силой 9 мН?

Ответы

Ответ дал: Enryg
0
Вот,держи,я нашёл,объяснить не смогу,но я нашёл ответ .
Приложения:
Вас заинтересует