• Предмет: Алгебра
  • Автор: Naurzaliev
  • Вопрос задан 3 года назад

В арифметической прогресси а3=10,а15=28,найдите разность прогрессии помогите плизз

Ответы

Ответ дал: Аndreу
2

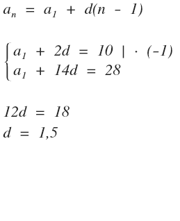
a15=a1+14d

a3=a1+2d



a1+14d=28

a1+2d=10

вычтем второе уравнение из первого

12d=18

d=18/12=1.5

Ответ дал: lavan13
5

Решение во вложении...

Приложения:
Вас заинтересует