• Предмет: Математика
  • Автор: Аноним
  • Вопрос задан 9 лет назад

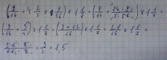
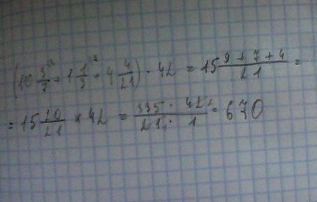
Решите пример
(10целых3/7+1целая1/3+4целых4/21)*42

Ответы

Ответ дал: Milena2020
0
=(15 цел 20/21) *42= 670

Приложения:
Ответ дал: Аноним
0
в пятом
Ответ дал: Аноним
0
а поняла
Ответ дал: Аноним
0
всё пока
Ответ дал: Аноним
0
и спасибо
Ответ дал: Milena2020
0
нез)))
Вас заинтересует