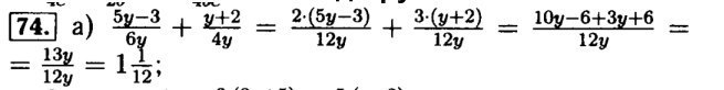
Не можете ли вы объяснить куда делся Y(игрек) из ответа? И как решить пример,если в числителе Y (игрек) будет во второй степени?
Приложения:
Ответа на этот вопрос пока нет. Попробуйте найти его через форму поиска.
Вас заинтересует
3 года назад
3 года назад
8 лет назад
8 лет назад
10 лет назад
10 лет назад
10 лет назад