• Предмет: Алгебра
  • Автор: adletkurgumbaev23
  • Вопрос задан 9 лет назад

Вот решите, пожалуйста, буду благодарен.

Приложения:

Ответы

Ответ дал: mariasoroket
0
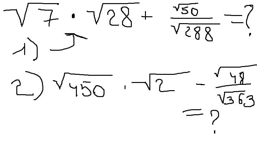
1) воспользуемся свойствами корня и объединим под одним корнем 7 с 28 и 50 с 288. 28 можно разложить на 7 и 4. Поэтому произведение, которое мы с лёгкостью выносим из-под корня равно 14. Затем идём к дроби: 50 и 288 сократим на 2. Получим 25 в числителе и 144 в знаменателе. Их легко выносим из-под корня: 5/12. Считаем получившееся: 14+5/12=14,41...=14 целых 5/12 2) Вносим под 1 корень 2 и 450. Выносим получившееся число из-под корня:=30. Затем аналогично поступаем с дробью. 48 и 363 разделим на 3 и получим 16/121, что легко выносится из-под корня. Считаем выражение: 30-4/11=30 целых 4/11
Вас заинтересует