• Предмет: Алгебра
  • Автор: nob2014
  • Вопрос задан 9 лет назад

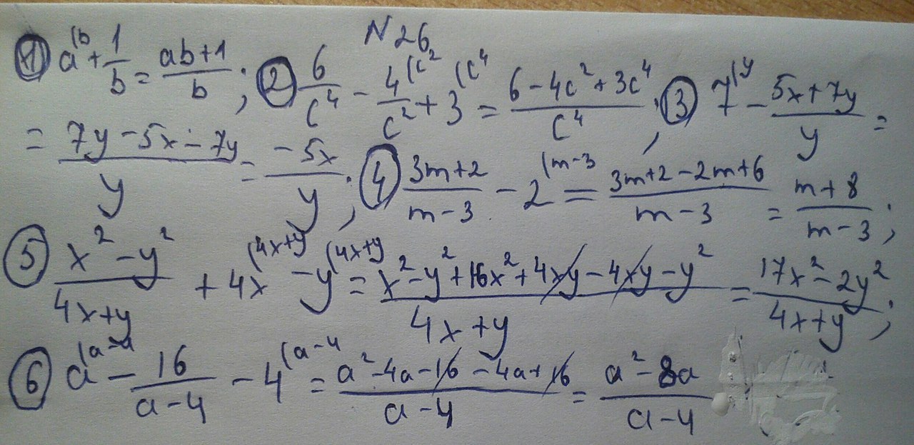
Помогите пожалуйста даю 30 БАЛЛОВ (Номер:26 полностью)

Приложения:

Ответы

Ответ дал: Юлиич
0
Я думаю, что так.Надеюсь, что помогла:з
Приложения:
Вас заинтересует