• Предмет: Алгебра
  • Автор: dfctv
  • Вопрос задан 9 лет назад

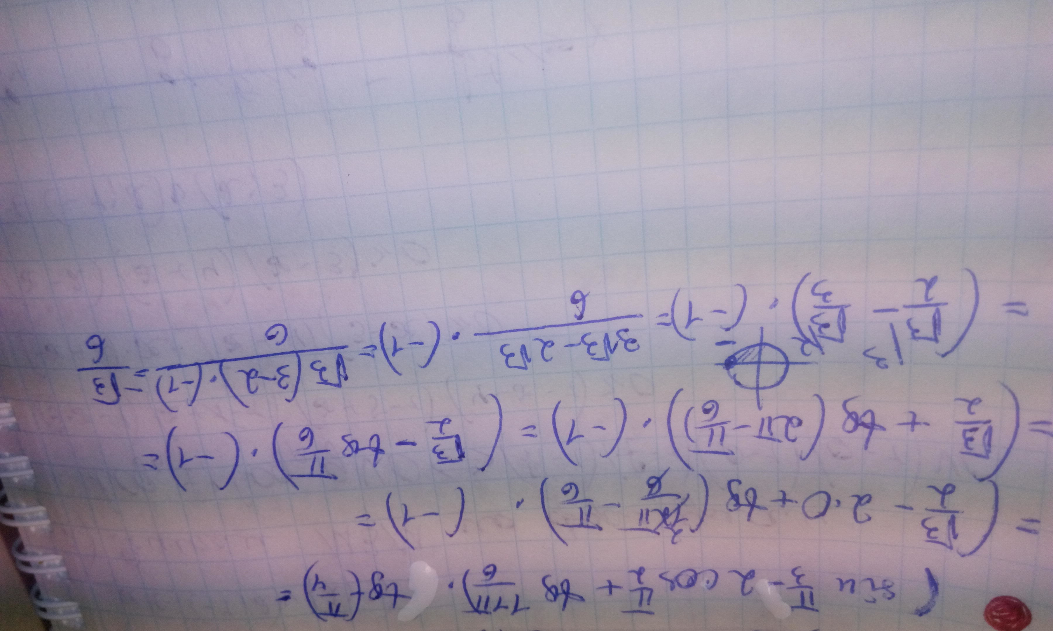
Пожалуйста, объясните, как вычислить? (sin frac{ pi }{3} - 2cos frac{ pi }{2} + tg frac{11 pi }{6} ) * tg(- frac{ pi }{4} )
Заранее спасибо!

Ответы

Ответ дал: irinan2014
0
Решение смотри на фото.
Приложения:
Вас заинтересует