• Предмет: Алгебра
  • Автор: neokk
  • Вопрос задан 9 лет назад

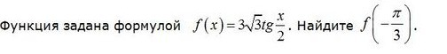
ПОМОГИТЕ С ТРИГОНОМЕТРИЧЕСКИМИ ФУНКЦИЯМИ
ЗАДАНИЕ ВО ВЛОЖЕНИИ

Приложения:

Ответа на этот вопрос пока нет. Попробуйте найти его через форму поиска.

Вас заинтересует