• Предмет: Алгебра
  • Автор: talancevv
  • Вопрос задан 9 лет назад

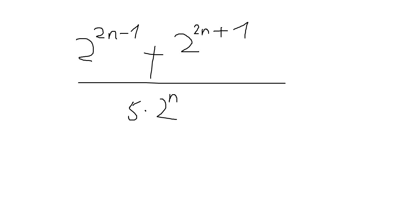
Решите уравнение пожалуйста

Приложения:

Ответы

Ответ дал: sedinalana
0
2^(2n-1)*(1+4)/(5*2^n)=2^2n-1*5/(5*2^n)=2^(2n-1-n)=2^(n-1)
Ответ дал: dbookerkst
0
\\\\\\\\\\\\\\\
Приложения:
Вас заинтересует