• Предмет: Алгебра
  • Автор: kaeru322
  • Вопрос задан 9 лет назад

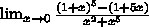
Решите подробно плиз

Приложения:

Ответы

Ответ дал: ksenn4ik
0
Решение данного предела.
Приложения:
Ответ дал: sedinalana
0
lim[(x^5+5x^4+10x^3+10x^2+5x+1-1-5x)/(x^2+x^5)]=lim[(x^5+5x^4+10x^3+10x^2)/(x^2+x^5)]=lim[x^2*(x^3+5x^2+10x+10)/x^2(1+x^3)]=lim[(x^3+5x^2+10x+10)/(1+x^3)]=(0+0+0+10)/(1+0)=10/1=10
Приложения:
Вас заинтересует