Ответы
Ответ дал:
0
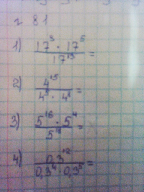
1) 17^9*17^5/17^13 = 17^14/17^13 = 17
2) 4^15/4^5*4^8 = 4^15/4^13 = 4^2 = 16
3) 5^16*5^4/5^18 = 5^20/5^18 = 5^2 = 25
4) 0,3^12/0,3^4*0,3^5 = 0,3^12/0,3^9 = 0,3^3 = 0,027
2) 4^15/4^5*4^8 = 4^15/4^13 = 4^2 = 16
3) 5^16*5^4/5^18 = 5^20/5^18 = 5^2 = 25
4) 0,3^12/0,3^4*0,3^5 = 0,3^12/0,3^9 = 0,3^3 = 0,027
Вас заинтересует
2 года назад
2 года назад
7 лет назад
10 лет назад
10 лет назад