• Предмет: Математика
  • Автор: ikav3d
  • Вопрос задан 9 лет назад

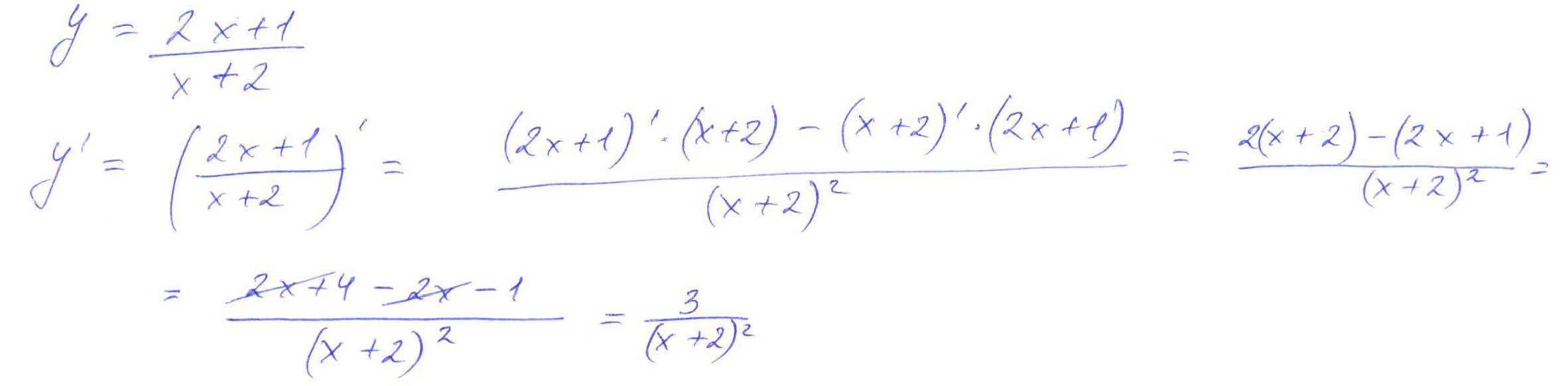
помогите найти производную функции

Приложения:

Ответы

Ответ дал: maonang
0
Решение в приложении
Приложения:
Вас заинтересует