Ответы
Ответ дал:
0
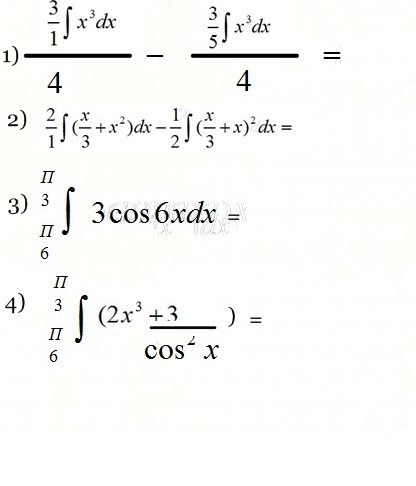
1.3·x⁴/16-3x⁴/80=15·3x⁴/80-3x⁴/80=42x⁴/80=21x⁴/40+C
2.2·∫(x²/9+2x³/3+x⁴)dx-0.5∫( (x²/9+2x³/3+x⁴)dx=2(x³/27+2x⁴/12+x⁵/5)-
0,5( (x³/27+2x⁴/12+x⁵/5)=1.5( (x³/27+x⁴/6+x⁵/5)+C
3.π/3 π/3
∫3cos6xdx=3/6(sin6x)l =0.5(sin6·π/3)-sin6·π/6)=0,5·0=0
π/6 π/6
4. 3.π/3 π/3
∫(2x³+3/cos²x)dx=(2x⁴/4+3tgx)l= 2π⁴/324+3·tg/3-2·π⁴/5184-3tgπ/6=
π/6 π/6
=15π⁴/2592+3/√3-3·√3
5
2.2·∫(x²/9+2x³/3+x⁴)dx-0.5∫( (x²/9+2x³/3+x⁴)dx=2(x³/27+2x⁴/12+x⁵/5)-
0,5( (x³/27+2x⁴/12+x⁵/5)=1.5( (x³/27+x⁴/6+x⁵/5)+C
3.π/3 π/3
∫3cos6xdx=3/6(sin6x)l =0.5(sin6·π/3)-sin6·π/6)=0,5·0=0
π/6 π/6
4. 3.π/3 π/3
∫(2x³+3/cos²x)dx=(2x⁴/4+3tgx)l= 2π⁴/324+3·tg/3-2·π⁴/5184-3tgπ/6=
π/6 π/6
=15π⁴/2592+3/√3-3·√3
5
Вас заинтересует
3 года назад
7 лет назад
7 лет назад
10 лет назад