Ответы
Ответ дал:
0
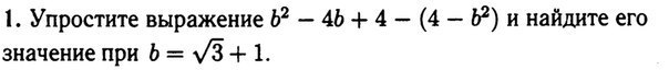
b²-4b+4-(4-b²)=
b²-4b+4-4+b²=
2b²-4b=
2b(b-2)=
2(√3+1)(√3-1)=
2(3-1)=4
b²-4b+4-4+b²=
2b²-4b=
2b(b-2)=
2(√3+1)(√3-1)=
2(3-1)=4
Вас заинтересует
2 года назад
7 лет назад
7 лет назад
10 лет назад
10 лет назад