• Предмет: Математика
  • Автор: Андрей26021
  • Вопрос задан 9 лет назад

как доказать помогите пожалуйста.

Приложения:

Ответы

Ответ дал: Lemon4iki
0
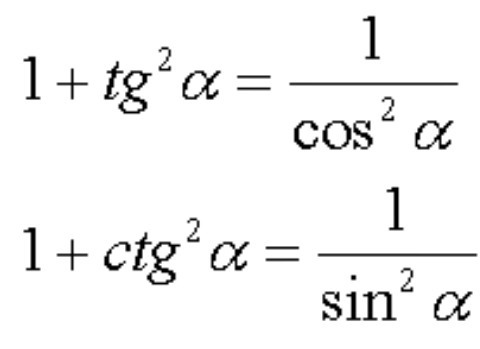
1+tg^2a=1+frac{sin^2a}{cos^2a}=frac{cos^2a+sin^2a}{cos^2a}=frac{1}{cos^2a}, что и требовалось доказать

1+ctg^2a=1+frac{cos^2a}{sin^2a}=frac{sin^2a+cos^2a}{sin^2a}=frac{1}{sin^2a}, что и требовалось доказать
Вас заинтересует