Ответы
Ответ дал:
0
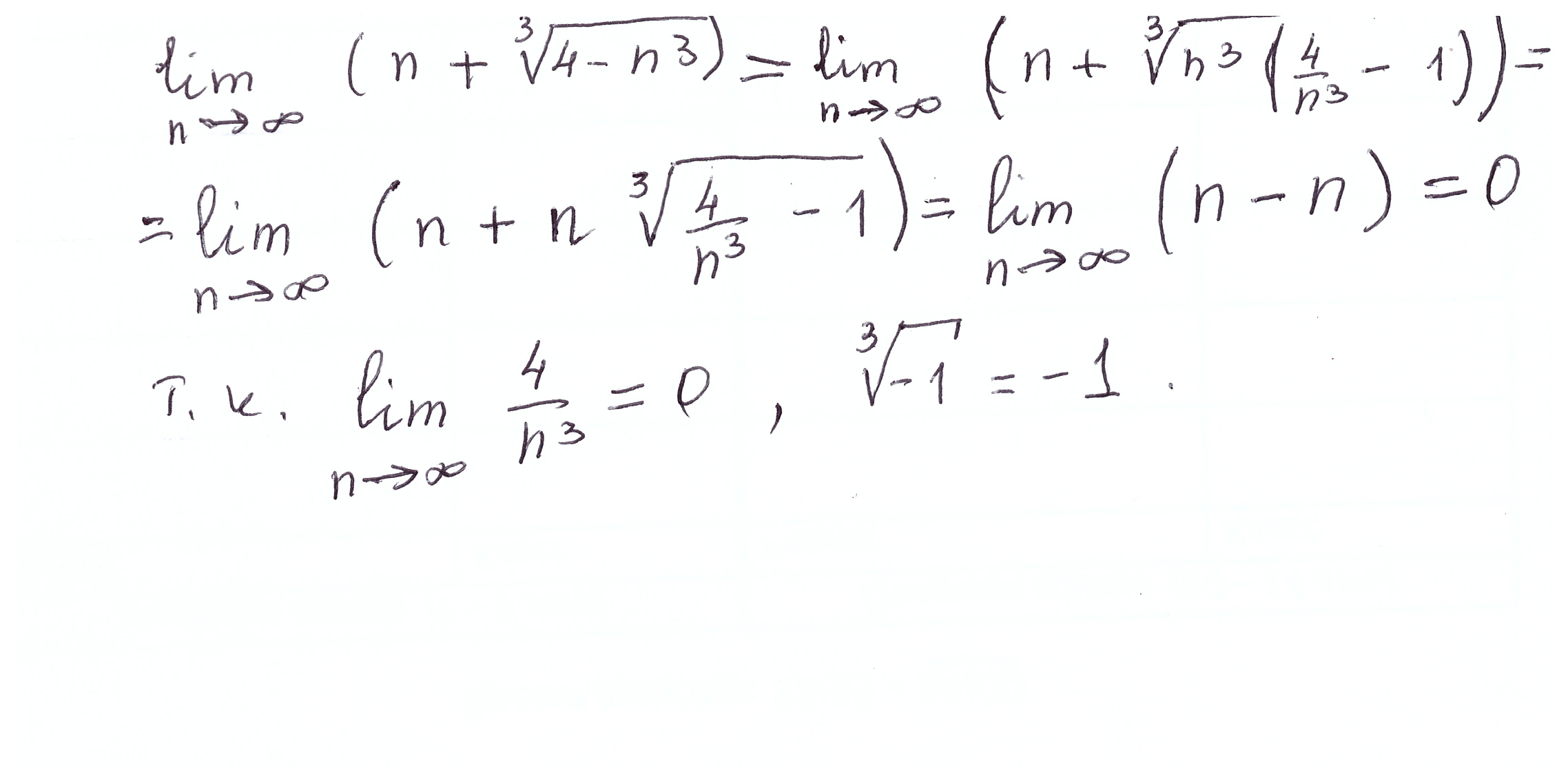
Решение второго предела во вложенном файле
Приложения:

Ответ дал:
0
нельзя брать предел одного множителя, а другого не брать, а взяв все пределы вы приходите к той же неопределенности, что и в условии
Вас заинтересует
2 года назад
7 лет назад
9 лет назад
10 лет назад