• Предмет: Математика
  • Автор: konstantin0201
  • Вопрос задан 9 лет назад

помогите с алгеброй плиз

Приложения:

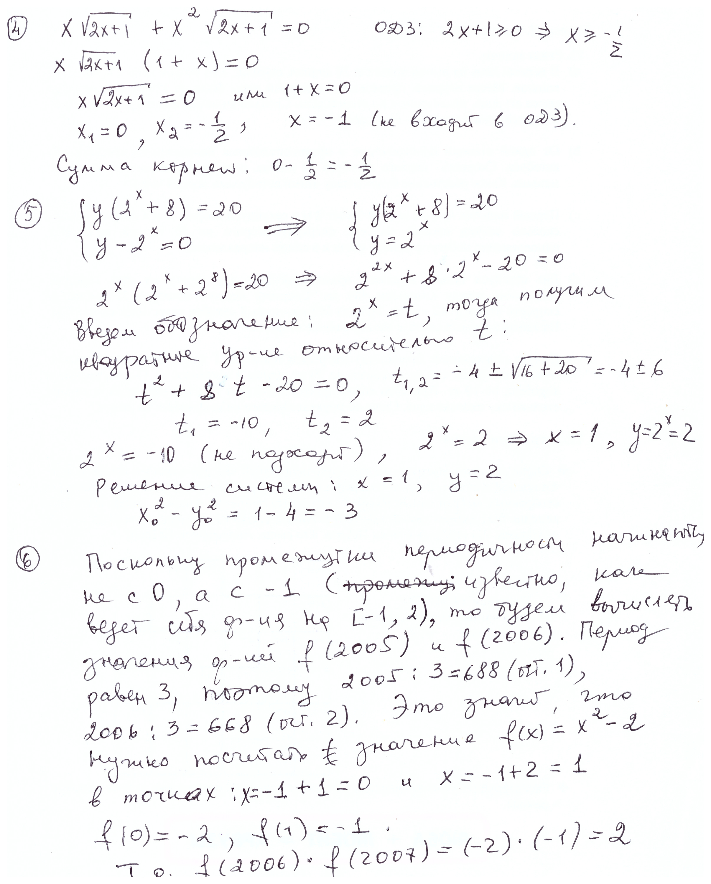
Ответы

Ответ дал: raisaallukina
0
Решение во вложенном файле

Приложения:
Ответ дал: raisaallukina
0
В задаче 5 в уравнении относительно х ошибочно вместо 8 написала 2^8, но дальше правильно
Вас заинтересует