Ответы
Ответ дал:
0
1)
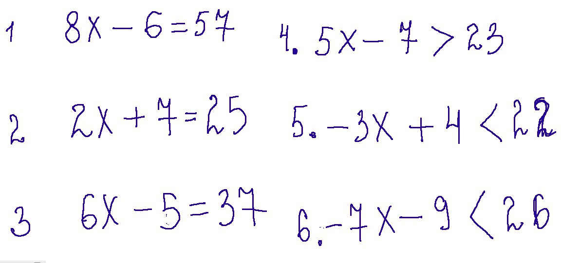
8х-6=57
8х=57+6
8х=63
х=63/8
х=7.875
2)
2х+7=25
2х=25-7
2х=18
х=18:2
х=9
3)
6х-5=37
6х=37+5
6х=42
х=42:6
х=7
8х-6=57
8х=57+6
8х=63
х=63/8
х=7.875
2)
2х+7=25
2х=25-7
2х=18
х=18:2
х=9
3)
6х-5=37
6х=37+5
6х=42
х=42:6
х=7
Вас заинтересует
3 года назад
7 лет назад
10 лет назад
10 лет назад
10 лет назад