• Предмет: Математика
  • Автор: tyrther
  • Вопрос задан 9 лет назад

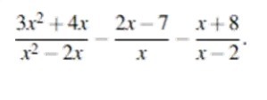
Упростите выражение? получится должно 7/x

Приложения:

Ответа на этот вопрос пока нет. Попробуйте найти его через форму поиска.

Вас заинтересует