Ответы
Ответ дал:
0
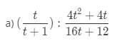
Ответ:4t+3/4t^2*(t+1)
Ответ дал:
0
А) =
Вас заинтересует
2 года назад
2 года назад
7 лет назад
7 лет назад
10 лет назад
10 лет назад