• Предмет: Математика
  • Автор: ShishovaSlonik
  • Вопрос задан 9 лет назад

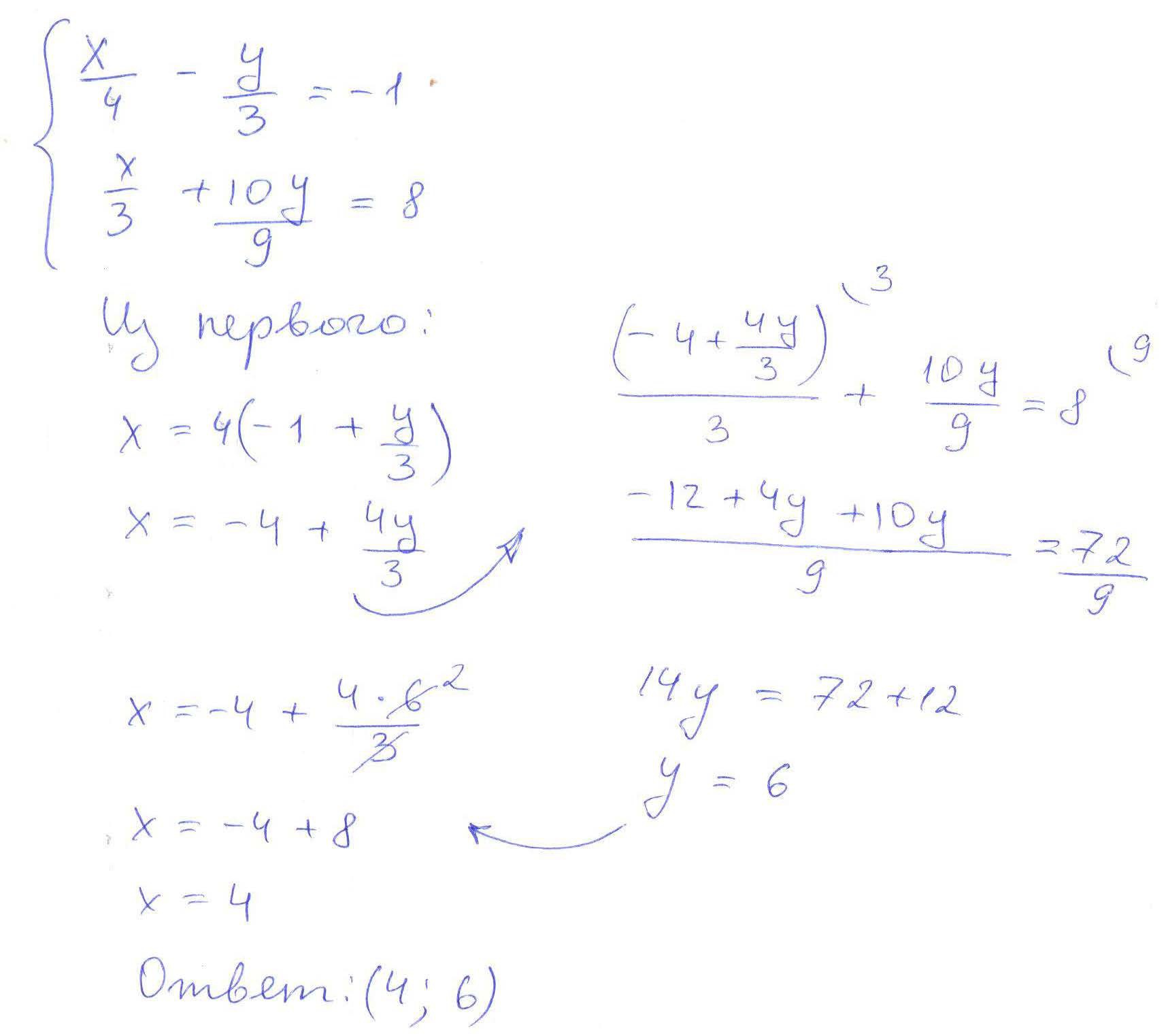
Решите систему уравнений
х/4-у/3=-1
х/3+10у/9=8

Ответы

Ответ дал: maonang
0
Решение на картинке
____________________________
Приложения:
Вас заинтересует