• Предмет: Алгебра
  • Автор: 97899yjj
  • Вопрос задан 9 лет назад

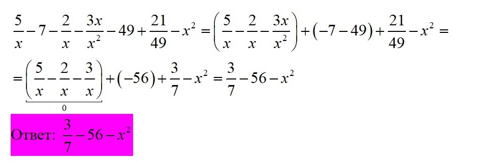
упростите выражение 5/x-7-2/x-3x/x^2-49+21/49-x^2

Ответы

Ответ дал: justcall
0

Решение во вложении.

Приложения:
Вас заинтересует