• Предмет: Математика
  • Автор: vladnik2004
  • Вопрос задан 9 лет назад

решите срочно надо пж.


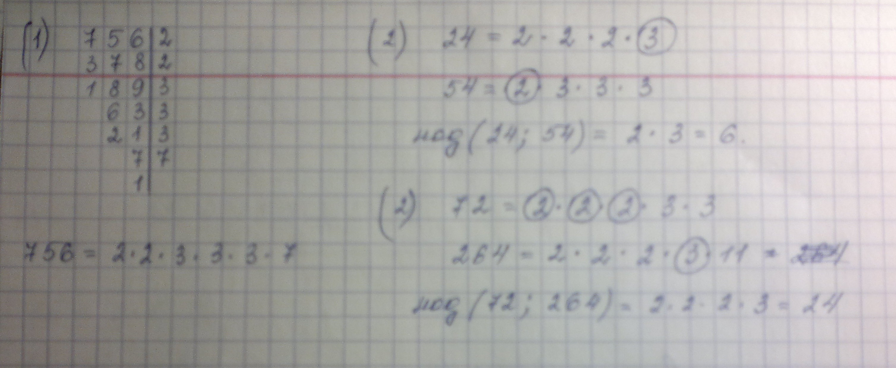
1.разложите число 756 на простые множители.
2.найдите НОД чисел 1)24 и 54; 2)72 и 264.
3.найдите НОК чисел 1)16 и 32 2)15 и 8 3)16 и 12.
4.докажите, что числа 272 и 1365 взаимно простые.
5.вместо звёздочки в записи 152* поставьте цифру так, чтобы полученное число было кратным 3 (рассмотрите все возможные варианты).
6.Петя расставил книги поровну на 12 полках, а потом переставил их, тоже поровну, на 8 полок. сколько книг было у Пети, если известно, что их было больше 100, но меньше 140

Ответы

Ответ дал: ytekjdbvsq
0
Пишите, если что не так.
Приложения:
Вас заинтересует