• Предмет: Алгебра
  • Автор: Angelina5555
  • Вопрос задан 3 года назад

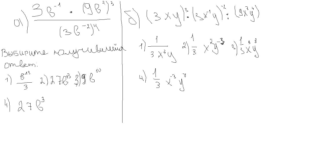
Ребят помогите упростить выражение (оно в вложениях) .Там нужно сделать по свойствам о степенях.Пропишите всё решение.И выбрать получившийся ответь.НУ ОЧЕНЬ НАДОООО)ЗАРАНЕЕ СПАСИБОО БОЛЬШОЕЕ!))

Приложения:

Ответы

Ответ дал: Smaris
2

вот решение))) и ответы

Приложения:
Вас заинтересует