Ответы
Ответ дал:
0
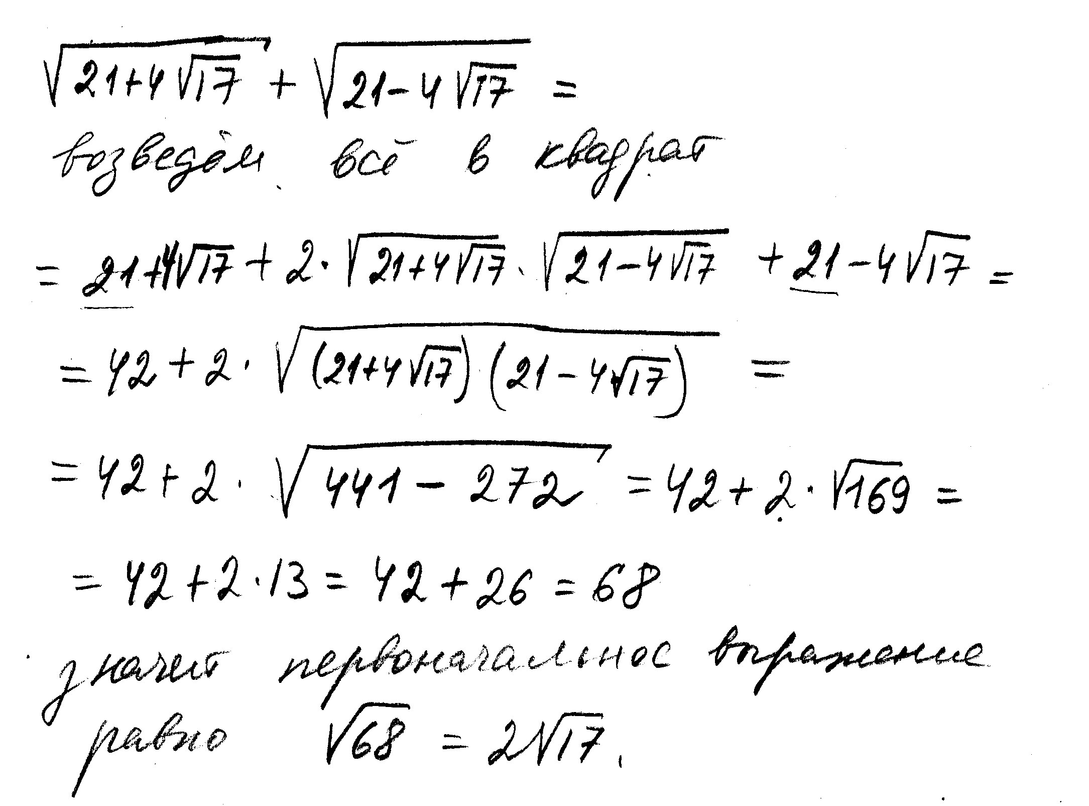
ответ во вложенном файле
Приложения:

Ответ дал:
0
Спасибо большое)
Вас заинтересует
2 года назад
2 года назад
7 лет назад
9 лет назад
10 лет назад