• Предмет: Математика
  • Автор: Iikovatanya101
  • Вопрос задан 9 лет назад

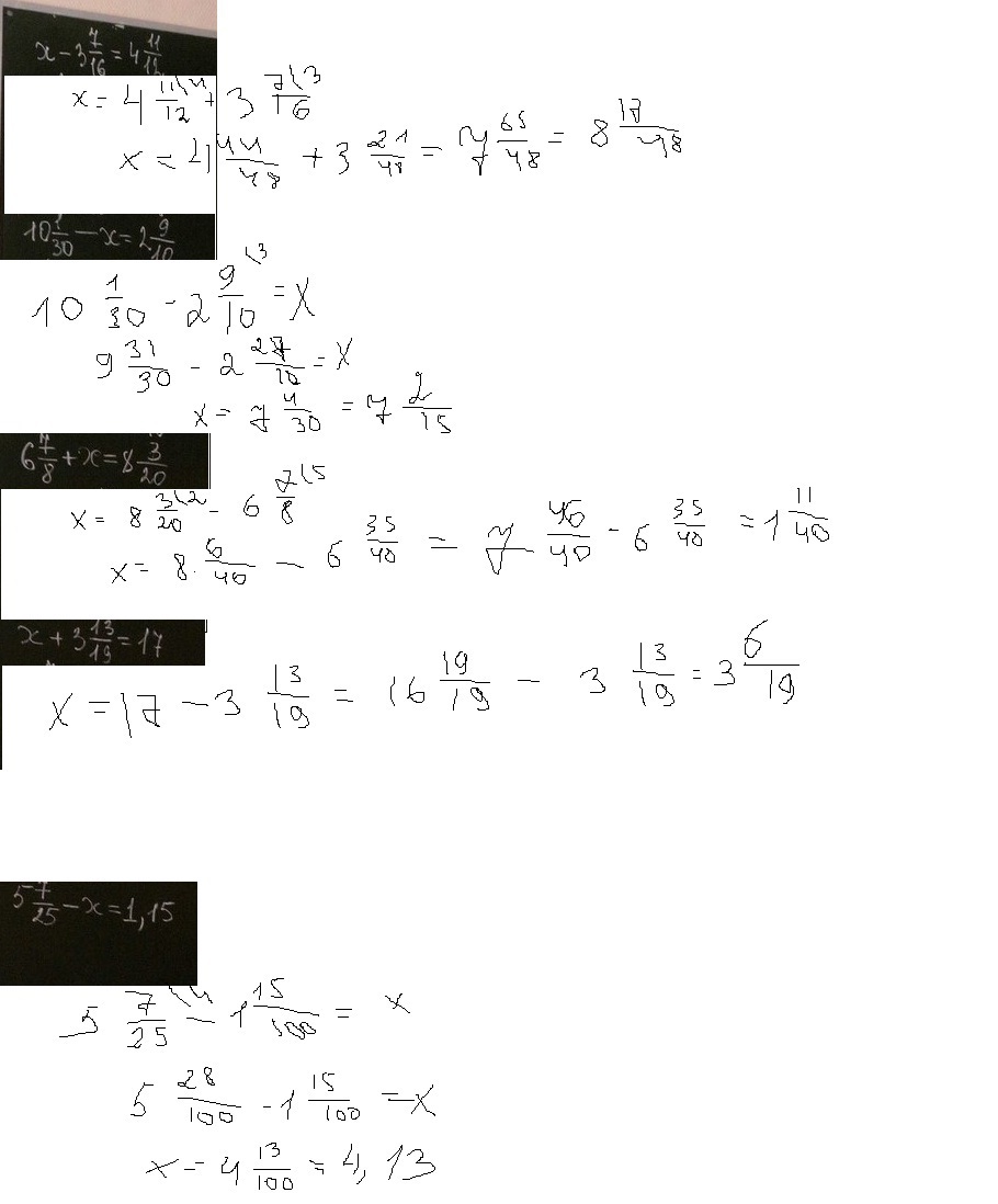
ПРОШУ ПОМОГИТЕ ! СРОЧНО НУЖНО ! ПЕРВЫЙ СТОЛБИК ТОЛЬКО ))))))

Приложения:

Ответы

Ответ дал: darpla
0
ответ в приложенном файле
Приложения:
Вас заинтересует