Ответы
Ответ дал:
1
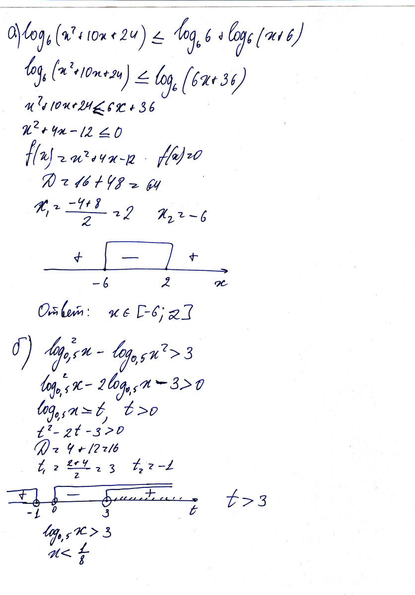
В б) ответ: x принадлежит (-бесконечности; 1/8)
Приложения:

Ответ дал:
1
В 1 неравенстве не учтено в ответе ОДЗ.
х²+10х+24>0, (х+6)(х+4)>0, х∈(-∞,-6)∨(-4,+∞)
х>-6, х∈(-6,+∞)
Тогда ОДЗ: х∈(-4,+∞)
Ответ будет при учёте ОДЗ: х∈(-4,2]
Вас заинтересует
2 года назад
2 года назад
2 года назад
2 года назад
7 лет назад
7 лет назад
9 лет назад