• Предмет: Алгебра
  • Автор: Pteechka
  • Вопрос задан 9 лет назад

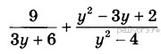
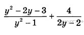
Помогите, пожалуйста :(
Задания во вложении

Приложения:

Ответа на этот вопрос пока нет. Попробуйте найти его через форму поиска.

Вас заинтересует