• Предмет: Алгебра
  • Автор: ИнгаВладыцкая
  • Вопрос задан 3 года назад

Помогите пожалуйста  с  решением. Задание во вложениях.

Приложения:

Ответы

Ответ дал: NNNLLL54
0

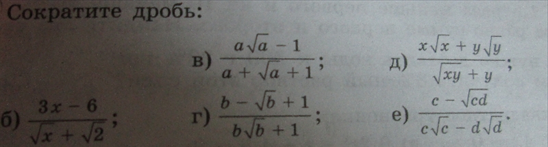
1)  a√a-1=(√a)³-1=(√a-1)(a+√a+1)

Сокращаешь числитель и знаменатель на (a+√a+1), получаем  (√а-1).

2) Числитель:  x√x+y√y=(√x)³+(√y)³ = (√x+√y)(x-√xy+y)

Знаменатель: √xy+y=√y(√x+√y)

Cокращаешь (√х+√у), остается дробь (х-√ху+у) / √у

3) Числитель: 3x-6=3(x-2)=3(√x-√2)(√x+√2)

Сокращаешь (√х+√2),  остается 3(√х-√2)

4) Знаменатель: b√b+1=(√b)³+1=(√b+1)(b-√b+1)

Cокращаешь на (b-√b+1), остается  1/(√b+1)

5) Числитель: c-√cd=√c(√c-√d)

Знаменатель: c√c-d√d=(√c)³-(√d)³=(√c-√d)(c+√cd+d)

Сокращаешь на (√c-√d),остается √с/(c+√cd+d)

 

 

 

 

 

 

 

 

 

 

 

 

 

 

 

 

 

 

 

 

 

 

 

 

 

 

 

 

 

 

 

 

Вас заинтересует