• Предмет: Математика
  • Автор: Gernar
  • Вопрос задан 9 лет назад

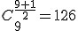
Что в математике обозначает эта запись?

Приложения:

Ответы

Ответ дал: 1324351324
0
В математике ,это запись обозначает,что С главное, в 9 ) а остальное побочное
Ответ дал: Gernar
0
обьясни подробнее, как получилось 126
Вас заинтересует