• Предмет: Алгебра
  • Автор: RavenEvilQueen
  • Вопрос задан 10 лет назад

Помогите пожалуйста с четвёртым заданием!;(

Приложения:

Ответы

Ответ дал: Nastya232
0
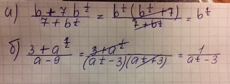
Все просто: в первом примере выносишь за скобки общий множитель  b^{ frac{1}{2}} , во втором примере раскладываешь знаменатель по формуле разность квадратов
Приложения:
Вас заинтересует