• Предмет: Алгебра
  • Автор: AnnaAlepova
  • Вопрос задан 9 лет назад

Помогите пожалуйста срочно!!!!!!!!!!!!!

Приложения:

Ответы

Ответ дал: RayZeNyFog
0
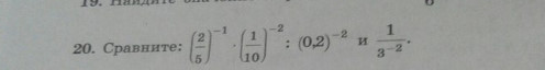
/2 -1 /1 -2 , (0,2)-2 и 1
5/ * 10/ ' 3 -2

2,5×100:25 и 9
250:25 и 9
10 и 9
10>9
Ответ дал: AnnaAlepova
0
Спасибо большое!
Вас заинтересует