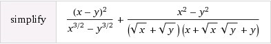
(x - y)^2/(x^(3/2) - y^(3/2)) + (x^2 -y^2)/((x^1/2 + y^1/2)(x + x^1/2 * y^1/2 + y))
Нужно упростить.
Приложения:
Ответы
Ответ дал:
0
(√x-√y)²(√x+√y)²/[(√x-√y)(x+√(xy)+y)]+(√x-√y)(√x+√y)(x+y)/[(√x+√y)(x+√9xy)+y)]=(√x-√y)(√x+√y)²/(x+√(xy)+y)+(√x-√y)(x+y)/(x+√9xy)+y)=
=(√x-√y)(x+2√(xy)+y+x+y)/(x+√(xy)+y)=(√x-√y)(2x+2√(xy)+2y)/(x+√(xy)+y)=
=2(√x-√y)(x+√(xy)+y)/(x+√(xy)+y)=2(√x-√y)
=(√x-√y)(x+2√(xy)+y+x+y)/(x+√(xy)+y)=(√x-√y)(2x+2√(xy)+2y)/(x+√(xy)+y)=
=2(√x-√y)(x+√(xy)+y)/(x+√(xy)+y)=2(√x-√y)
Вас заинтересует
3 года назад
3 года назад
8 лет назад
8 лет назад
10 лет назад
10 лет назад
10 лет назад