Ответы
Ответ дал:
0
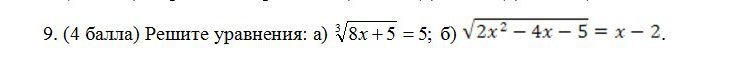
возведем в куб
8х+5=125
8х=125-5
8х=120
х=15
возведем в квадрат
2х^2-4х-5=х^2-4х+4
х^2-9=0
х1=3
х2=-3
8х+5=125
8х=125-5
8х=120
х=15
возведем в квадрат
2х^2-4х-5=х^2-4х+4
х^2-9=0
х1=3
х2=-3
Ответ дал:
0
Вот решение.Удачи тебе.
Приложения:
Ответ дал:
0
Во втором ответ : 3 и -3 .
Вас заинтересует
3 года назад
7 лет назад
7 лет назад
10 лет назад
10 лет назад
10 лет назад