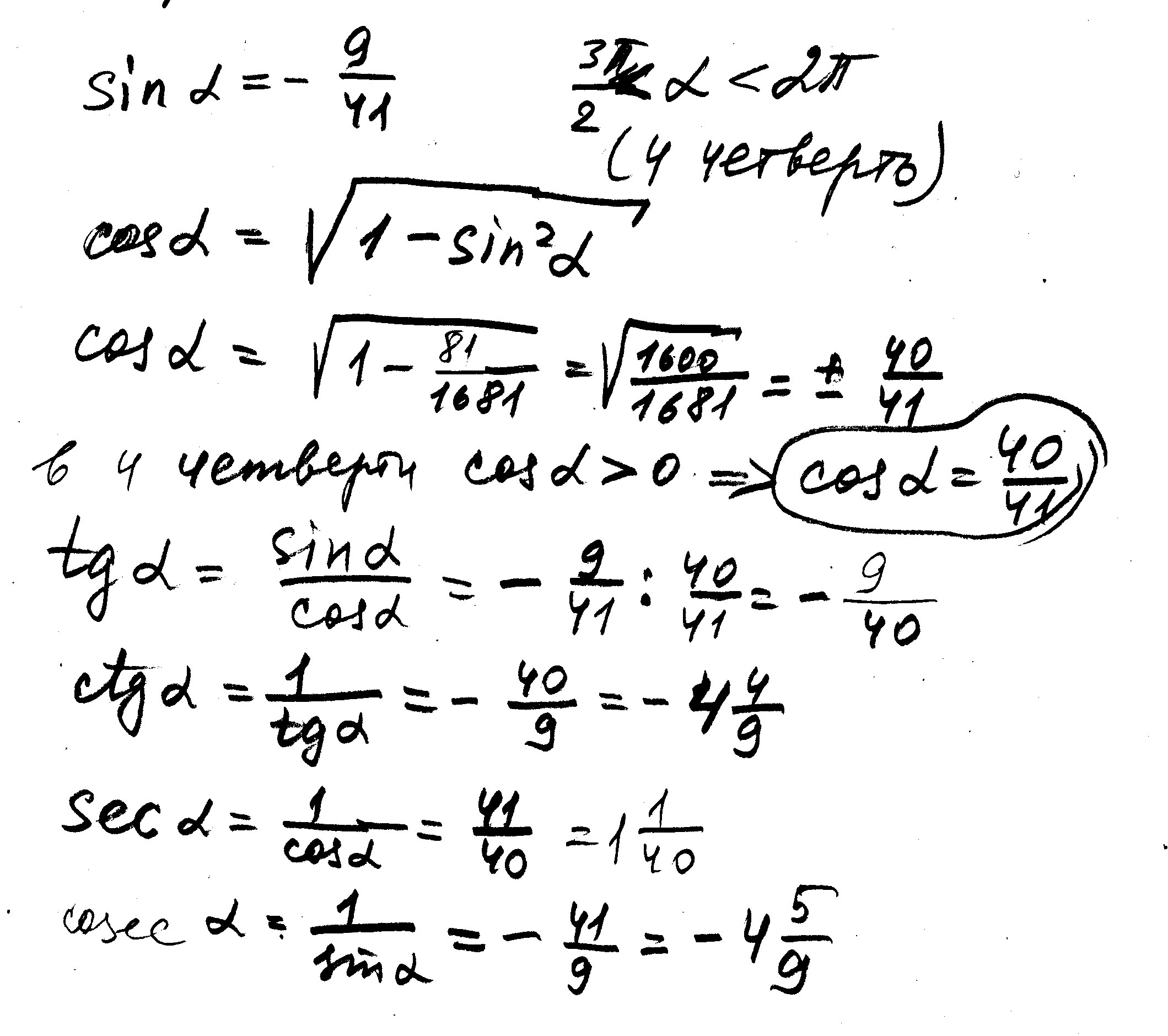
Зная одну тригонометрическую функцию и промежуток, в котором находится угол, найдите остальные пять тригонометрических функций sinα=- 9/41;3π/2<α<2π;
Ответы
Ответ дал:
0
решение во вложенном файле
Приложения:
Вас заинтересует
2 года назад
2 года назад
7 лет назад
7 лет назад
10 лет назад
10 лет назад
10 лет назад
10 лет назад