Ответы
Ответ дал:
0
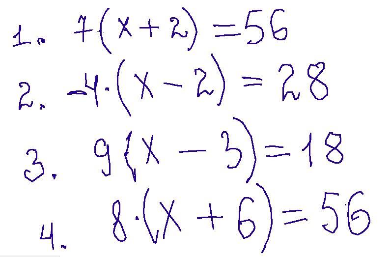
7 (х+2)=56
7х+14=56
7х=56-14
7х=42
х=42÷7
х=6
-4(х-2)=28
-4х+8=28
-4х=28-8
-4х=20
х=20÷(-4)
х= -5
9 (х-3)=18
9х-27=18
9х=18+27
9х=45
х=45÷9
х=5
8 (х+6)=56
8х+48=56
8х=56-48
8х=8
х=8÷8
х=1
7х+14=56
7х=56-14
7х=42
х=42÷7
х=6
-4(х-2)=28
-4х+8=28
-4х=28-8
-4х=20
х=20÷(-4)
х= -5
9 (х-3)=18
9х-27=18
9х=18+27
9х=45
х=45÷9
х=5
8 (х+6)=56
8х+48=56
8х=56-48
8х=8
х=8÷8
х=1
Вас заинтересует
3 года назад
3 года назад
10 лет назад
10 лет назад
10 лет назад